Причина №1: кровь, пот и слезы

Ни чувство невероятной усталости, ни потемнение в глазах, ни насквозь мокрая майка не являются показателем хорошо отработанной тренировки. Это показатель того, что вегето-сосудистая система не справляется с нагрузкой.
Боль в мышцах на следующий день после тренировки — не показатель ее качества тем более. Нет никакой прямой связи связи между крепатурой и ростом мышц. Люди, которые не тренируются до сильной крепатуры, иногда добиваются лучших результатов, просто потому что могут тренироваться чаще. В отличие от тех, кто каждую тренировку доводит себя до невозможности ходить и сидеть и вынужден пропускать тренировки или заниматься через боль, не давая организму восстановиться.
Можно чувствовать себя морально хорошо, работая до седьмого пота, а боль в мышцах на утро может служить приятным напоминанием о том, что вы неплохо потренировались вчера. Но ничто из этого не говорит о пользе тренировки для организма. Это помогает чувствовать себя хорошо эмоционально, но это не всегда имеет под собой физиологическую пользу.
Сколько калорий сжигает силовая тренировка в час: основные мифы о спорте и тонусе организма
МИФ 1: Пройдя километр или пробежав его, сожжете равное количество калорий. Это не так. Бег – это более энергичная деятельность, потому что вы каждый раз прыгаете с места. За один километр, который вы пробежали, сжигается вдвое больше калорий, чем при ходьбе на то же расстояние.
МИФ 2: Нужно делать упор на проблемное место, чтобы оно в первую очередь худело. Женщины считают, что упражнения с низкой интенсивностью сжигают жир с их бедер или ягодиц. Это не тот случай. Если вы тренируетесь легко в течение 15 минут и сжигаете 100 калорий, 75 процентов из них могут уйти из жировых запасов, а не из мышечной массы. Если вы тренируетесь очень тяжело в течение 15 минут и сжигаете 200 калорий, только 50 процентов уйдут из жировых слоев, хотя при этом вы затратили больше энергии
Силовая тренировка и калории – это совместимые вещи, поэтому так важно следить за ритмом при выполнении движений
МИФ 3: Вы не верите в числа на беговой дорожке. Но ведь вы программируете свой вес, а машина вычисляет, сколько вы затратили калорий при определенной интенсивности тренировки.
МИФ 4: Вы сжигаете больше калорий на холоде. Правда в том, что вы сжигаете калории, когда вы пытаетесь согреться. На это тоже нужна энергия. Но как только вы согреетесь во время тренировки, вы не будете использовать больше энергии только потому, что на улице холодно. В итоге зря потратите время и силы.
МИФ 5: Упражнения с высоким уровнем сжигания калорий лучше. Столько, сколько калорий тратится при приседании, не уходит за 4 часа бега. Нет, конечно, если женщина устанет за час силовой тренировки, то остаток дня проведет в состоянии подавленности и чрезмерной усталости. Восстановиться будет сложнее, даже во сне
Лучше уделять внимание коротким упражнениям с большей отдачей
Быть активным важно для любой программы по снижению веса или по его поддержанию. Когда вы активны, ваше тело потребляет больше энергии
Когда вы сжигаете больше калорий, чем потребляете, вы теряете в весе.
Почему нельзя сильно сокращать рацион?
Если начать считать, сколько калорий нужно употреблять, чтобы похудеть, может показаться, что проблему можно решить, если сразу снизить количество энергии в несколько раз, или вообще до нуля. Но человеческий организм работает не так. Разгрузочный день раз в неделю создаст позитивный стресс и действительно может ускорить избавление от лишнего веса. При длительном голодании уже происходят менее позитивные изменения:
● выпадают волосы и ухудшается состояние кожи;
● развивается аритмия;
● человек становится раздражительным, легко впадает в депрессию;
● нарушается работа органов пищеварения и почек;
● ослабевает иммунитет;
● падает концентрация внимания и способность связно мыслить.
При этом организм входит в “режим энергосбережения”. Метаболические процессы замедляются и похудение происходит медленнее, чем должно. А после отказа от голодания происходит быстрый набор веса.
Вы набираете мышцы
Если вес не снижается и даже растет (а калории под контролем), то, по всей видимости, вы начинаете набирать сухую массу.
Решение: вроде я это уже говорил, но повторю: цифры на весах – это еще не всё. Измерение объемов и фотографии (и рабочие веса в зале) скажут намного больше о вашей физической форме.
Объемы: если увеличиваются руки, грудь и квадрицепсы, а талия уменьшается, то поздравляю, вы прибавили мышц.
Фото: выглядите больше, чем раньше? Прорисовались линии на теле, которых раньше не видали? Поздравляю, вы прибавили мышц.
Сила: если на дефиците сила не упала (или даже чуть-чуть увеличилась), то поздравляю, вы прибавили мышц.
Голод, срывы и неправильный учет калорий
gathery.recruit-lifestyle.co.jp
Одно из известных приспособлений организма к диете — увеличение чувства голода. Реальность такова: становиться очень «сухим» — значит быть постоянно голодным. Не все стойко терпят голод, и многие сталкиваются со срывами — неконтролируемым поеданием вредной еды почти в аффекте.
О срывах никто не любит говорить вслух. Более того, люди быстро и честно о них забывают, как о всем неприятном, продолжая искренне считать, что питание строго соответствует 1200 калориям. Тем не менее, срыв может легко обнулить весь созданный за неделю дефицит и остановить похудение. Разумеется, к сломанному метаболизму это не имеет никакого отношения.
myprotein.com
Другая проблема, которая выглядит как «убитая обменка»: стройные люди, которые хотят стать еще стройнее и суше, часто неточны в подсчетах поступающих калорий. Они привыкли есть мало, поэтому меряют порции на глаз, не ведут дневник питания, полагаются на память (а память очень избирательна, да и о чем-то, съеденном утром, можно к вечеру забыть). Добавим к этому, что человек не отслеживает снижение активности и не замечает, что тратит меньше калорий, чем раньше.
Большинство тех, кто перестал худеть и уверен, что убил/сломал себе метаболизм, неосознанно обманывают себя и неправильно считают (или вообще не считают) калории. Обычно, когда плохо контролируемые 1200 калорий превращаются в хорошо контролируемые 1250, похудение волшебных образом возобновляется.
Часто люди просто едят больше, чем нужно для новой скорости обмена веществ, которая на диете стала ниже по причинам, описанным выше. Раз в 2-3 месяца стоит пересчитывать свою норму калорий, соотносить ее с уровнем ежедневной активности (не перееоценивать ее), количеством тренировок и новым весом тела.
Виды дефицита
Перед тем, как садиться на какую-либо определенную диету и сделать дефицит калорийности, необходимо понять, какие виды дефицита существуют. Это позволит правильно худеть без нервов, откатов, и стресса для организма.
- Дефицит питания. Обычно является результатом диет, из-за которых в кровь поступает недостаточное количество питательных элементов и нутриентов.
- Увеличение активности. Позволяет увеличить расход энергии, что тоже ведет к дефициту калорийности.
- Экстремальное уменьшение сна и отдыха. В случае когда нужно похудеть на 10 килограмм за 3 дня, можно уменьшить количество сна. Уже на третьи сутки, организм в попытках добыть достаточное количество энергии, увеличит расход энергии вдвое.
Кроме этого, искусственно создаваемый дефицит можно разделить по интенсивности.
Стабильный
Стабильный дефицит калорийности питания – это идеальное решение для тех кто никуда не спешит. Его можно начинать с сентября, и сидеть на этой диете вплоть до мая. Правильно обогащенная белками и витаминами диета обеспечит достаточный уровень насыщения. При этом, организм будет терять до 1-2 килограмм в неделю.
Но самое главное при таком питании, вы даже не заметите как лишние килограммы уходят с вашего тела. Кроме того, такой подход позволяет избежать растяжек кожи и других малоприятных побочных эффектов. Ну, и самое главное – при таком дефиците не обязательно ограничивать себя каким-то одним типом продуктов, можно питаться точно также как и раньше – только меньше.
Увеличенный
Увеличенный дефицит калорийности базируется уже на несколько других принципах питания. В частности это первый подход в котором дефицит определяется не как общая калорийность минус расходы, а именно создается дефицит в питании.
Питание по ускоренному дефициту обладает следующими особенностями:
- Значительное преобладание белковых продуктов.
- Практически полное отсутствие углеводов.
- Небольшое содержание жиров.
- Гигантское количество клетчатки.
- Общий недостаток должен достигать отметки в 50% от расходуемой энергии.
Увеличенный дефицит калорий предназначается исключительно для краткосрочного похудения. Целевой аудиторией являются атлеты, которые умеют считать базовую калорийность, БЖУ, глкемический индекс и пр. При использовании увеличенного дефицита, можно отметить то, что уже через 2-3 недели после начала диеты, организм начинает адаптироваться к такому недостатку питательных нутриентов что ведет за собой снижение метаболизма, а также уничтожение энергопотребителей в организме. В частности от таких диет уже можно лишиться части мышечной ткани. В то же время, при правильно составленном ускоренном дефиците калорийности в питании, можно абсолютно безопасно в короткие сроки избавится до 10% от массы.
Яркими представителями, профессиональных диет рассчитанных на увеличенный дефицит калорийности являются:
- Низкоуглеводная диета.
- Углеводное чередование.
- Кетодиета.
- Высокобелковая диета.
И любые другие формы, в которых калорийность и нутриенты считаются в индивидуальном порядке.
Экстремальный
К сожалению, среди всех способов правильного похудения и сушки, наиболее популярными стали наиболее вредные. В частности это современная диетология, которую публикуют в журналах и на страницах интернета.
Для того чтобы не попасть в список пострадавших от новомодных «яблочных и кукурузных» диет, нужно понимать, как правильно работают такие диеты, чем они чреваты, и почему они такие популярные. Любая моно диета подразумевает экстремальное урезание калорий. Очень часто в интернете можно увидеть весьма специфические рекомендации к «пельменным диетам», где рекомендуется съедать не более 900 ккал в день. При среднестатистическом расходе в 2000-3000 ккал в день, 900 ккал это более 60% дефицита. А очень часто, они и значительно превышают этот порог.

HayDmitriy — depositphotos.com
Вы много едите.
Тренировка – это хороший способ потратить калории, поддерживать себя в форме. Но необходимо тратить калорий больше, чем вы получаете, то есть создавать их дефицит.
За одну тренировку женщина сжигает около 300-500 ккал. На поддержание ежедневной физической активности расходуется еще 600-800 ккал. Чтобы при этом терять вес, нужно рассчитать свою норму калорий с учетом дневной активности и безжировой массы тела, сбалансировать ее по макронутриентам (белки, жиры, углеводы).
Для похудения питание имеет не меньшее значение, чем спорт!
- Не переедайте, оправдывая свой аппетит возросшим метаболизмом.
- Помните про баланс БЖУ и то, что нельзя исключать углеводы. Создавать дефицит калорий можно, варьируя их количество.
Через 2 недели после начала тренировок
«Регулярные тренировки практически вошли в мой привычный график!»
В этом нет ничего удивительного, ведь ученые доказали, что привычки у человека вырабатываются в течение 2-3 недель.
А помните ту невыносимую боль после тренировок? Удивительно, но она пропала =) Поэтому пора выполнять различные упражнения и не переживать о том, что на следующий день вы не сможете встать с кровати. Однако перегружать себя не стоит, всегда помните об умеренности и постепенных темпах роста нагрузок!
Вывод: вы и ваш организм привыкаете к регулярным нагрузкам, а также начинаете осваивать разнообразные упражнения и технику их выполнения!
Сила мозга
Хотя средний мозг взрослого человека весит около 1.4 кг, лишь 2 процента от общего веса тела, он отъедает примерно 20 процентов от нашего уровня обмена веществ в состоянии покоя (англ. RMR resting metabolic rate) – общего объема энергии, которую наши тела тратят за день полнейшего безделья. RMR варьируется от человека к человеку в зависимости от возраста, пола, размера и состояния здоровья. Если мы возьмём за среднее значение RMR 1300 калорий, то окажется, что мозгу необходимо 260 калорий просто для поддержания себя в форме. Это 10,8 калорий в час или 0,18 калорий в минуту. (Для сравнения можно посмотреть Гарвардскую таблицу калорий, сжигаемых во время разных занятий). С помощью несложных преобразований мы можем получить мощность:
RMR: 1300 ккал
1300 ккал/сутки = 54.16 ккал/час = 15.04 кал/сек
15.04 кал/сек = 62.93 Дж/сек = около 63 Вт
20 процентов от 63 Вт = 12,6 Ватт
Таким образом, мощность среднестатистического мозга взрослого человека равна 12 Вт, что всего в пять раз меньше мощности стандартной электрической лампочки в 60 Вт. Если сравнить мозг с другими органами, он окажется очень прожорливым, но, тем не менее, он работает гораздо эффективней всякой электроники, созданной человеческими руками. Например, работа IBM Watson, суперкомпьютера, победившего чемпионов американского аналога телевикторины “Своя игра”, основана на взаимодействии девяноста серверов IBM Power 750, каждый из которых требует около 1000 ватт.
Энергия поступает в мозг через кровеносные сосуды в виде глюкозы, которая проходит через гематоэнцефалический барьер и используется для производства аденозинтрифосфата (АТФ), основной энергетической валюты в клетках. Эксперименты с участием животных и людей подтверждают, что при возбуждении нейронов в определенной области мозга, местные капилляры расширяются, чтобы доставить больше крови, а вместе с ней дополнительные глюкозу и кислород. Именно это делает возможными нейровизуализационные исследования: функциональная магнитно-резонансная томография (фМРТ) зависит от уникальных магнитных свойств крови и активности нейронов. Исследования также подтвердили, что после того, как расширенные кровеносные сосуды обеспечивают приток глюкозы, клетки головного мозга начинают её активно всасывать.
Следуя этой логике дальше, некоторые ученые предложили следующее: если возбуждение нейронов требуют дополнительной глюкозы, то особенно сложные психические задачи должны снизить уровень глюкозы в крови, а поедание сладкого должно улучшить производительность при решении таких задач. Хотя некоторые исследования подтверждают эти прогнозы, доказательств в целом недостаточно и большинство изменений уровня глюкозы колеблется в очень небольших пределах. Например, в одном из исследований в Нортумбрийском университете добровольцы, выполнившие ряд устных и вычислительных задач, показали большее снижение уровня глюкозы в крови, чем те, кто просто нажал несколько раз на клавишу. В том же исследовании употребление сладкого напитка улучшило производительность на одной из задач, но этот эффект не распространялся на другие задачи.

В Ливерпульском Университете им. Джона Мурса добровольцев заставили выполнять две версии теста Струпа, в ходе которого они должны были определить цвет чернил, которым было напечатано слово, а не читать его. В простой версии слово синий и синий цвет совпадали, а в усложнённом варианте слово синий было напечатано красным или зелёным. Различия в уровне глюкозы были больше у тех, кто выполнял усложнённый вариант, что было интерпретировано исследователями как прямое следствие больших мысленных усилий. Некоторые исследования показали, что когда люди не очень хорошо справляются с поставленной задачей, им приходится сильнее шевелить мозгами и использовать больше глюкозы, тогда как по мере накопления опыта мозг начинает работать более эффективно и требует меньше глюкозы. Ну и наконец, есть по-крайней мере одно исследование, результаты которого говорят против того, что выполнение сложных умственных задач требует большего количества энергии.
Жиры
Жиры – важнейший компонент рационального сбалансированного питания. Именно жировые отложения являются энергетическим резервом организма. Так, при окислении 1 г жира освобождается 9 ккал энергии. Жир входит в состав клеточных мембран и оболочек нервных волокон, участвует в синтезе витаминов, гормонов, желчных кислот.
Жиры разделяют на насыщенные (в животных продуктах) и ненасыщенные (в растительных). Пищевая ценность жиров связана с наличием в них ненасыщенных жирных кислот, витаминов А. Е, Д.
Средняя суточная потребность – 80-100 г жира, из них 30% должны составлять растительные масла.
Основные симптомы
Важно отличать настоящую спортивную зависимость от здорового увлечения фитнесом. Например, если вы тренируетесь в первую очередь для поддержания здоровья, причин волноваться нет. Насторожиться стоит в том случае, если ваша главная цель — формирование идеальной фигуры, соответствующей модным тенденциям
Фитнесголики проводят много времени перед зеркалом, рассматривая рельеф своего тела. При этом они не могут отказаться от тренировок — сама мысль о пропуске занятий становится недопустимой
Насторожиться стоит в том случае, если ваша главная цель — формирование идеальной фигуры, соответствующей модным тенденциям. Фитнесголики проводят много времени перед зеркалом, рассматривая рельеф своего тела. При этом они не могут отказаться от тренировок — сама мысль о пропуске занятий становится недопустимой.
Другой яркий симптом: зависимые от спорта увеличивают физические нагрузки и их длительность, даже несмотря на травмы, болезни или запреты врача. Как правило, они посещают зал каждый день и выполняют одни и те же упражнения в строго запланированном порядке.
Время, выделенное для физических упражнений, приобретает для человека первостепенное значение. Оно формирует распорядок его дня, а финансы теперь распределяются так, чтобы их хватало на покупку спортивного питания и поддержание диеты. Если какая-то личная или деловая встреча пересекается с проведением тренировки, фитнес-наркоман отдает предпочтение последней. Поэтому ему не хватает не только сил, но и времени на любые другие дела, кроме спорта. Изнуряя свой организм интенсивными нагрузками и питанием с пониженной калорийностью, человек становится тревожным и нервным. Он зациклен на сжигании калорий и не прекращает тренироваться даже после получения травм. Если же по каким-то причинам у фитнесголика не получается попасть в спортзал, он замыкается в себе и начинает испытывать чувство вины.
Как часто надо заниматься спортом, чтобы был заметен результат?
Когда человек только начинает набирать мышечную массу и терять жир, он может заметить изменения в своей внешности, но его вес остается таким же. Он даже может увеличиться. Но волноваться из-за этого не надо, так как килограмм мышц весит столько же, как и килограмм жира, но мышцы более компактные и плотные, и занимают меньше места, чем жир. Поэтому ваш вес может остаться таким же, но внешне вы будете выглядеть более худыми.
Вместо того чтобы наблюдать за цифрами на весах для определения эффективности диеты и спортивной программы, лучше просто обращать внимание на изменения в своей внешности, размерах определенных групп мышц, одежды и т.д. Чтобы оценивать прогресс также можно снимать мерки
Сначала снимаем мерки в начале выполнения фитнес программы, а затем опять через четыре или шесть недель. Это отличный способ определения эффективности вашего плана. К тому времени, разумеется, объемы должны измениться
Чтобы оценивать прогресс также можно снимать мерки. Сначала снимаем мерки в начале выполнения фитнес программы, а затем опять через четыре или шесть недель. Это отличный способ определения эффективности вашего плана. К тому времени, разумеется, объемы должны измениться.
В итоге, на вопрос «Как часто надо заниматься спортом для похудения?» будет ответ – силовые упражнения каждые 48 часов, и кардио между днями с силовыми упражнениями, чтобы создавать многообразие и поддерживать мотивацию. Также рекомендуется оставить день вообще без каких-либо физических нагрузок, для того чтобы дать организму шанс отдохнуть и полностью восстановиться.

Психическое истощение от напряженной работы мозга
Если сложные познавательные задачи потребляют лишь немного больше топлива, чем обычно, что же тогда объясняет чувство умственного истощения после экзамена или аналогичного изнурительного психического марафона?
Один из ответов заключается в том, что поддержание внимания в фокусе или напряженная умственная работа в течение нескольких часов действительно сжигает достаточно энергии, чтобы оставить чувство изнурения, но исследователи не подтвердили это потому, что они просто не были достаточно жестоки по отношению к добровольцам. В большинстве экспериментов участники выполняют одну задачу средней сложности и редко дольше, чем час или два. “Может быть, если мы придумаем тест пожёстче и заставим людей делать то, что они не очень хорошо умеют, мы увидим более четкие результаты”, – предполагает Мессер.
Однако помимо продолжительности психических нагрузок также важно отношение к ним. Просмотр захватывающего кино со запутанным сюжетом заставляет мозг работать добрых 2 часа, но люди обычно не выползают из кинотеатров еле живыми и с жалобами на психическую усталость. Некоторые люди регулярно проводят приятные вечера в компании сложных книг, которые другие от отчаяния могут швырнуть в стенку
Решение сложных кроссвордов или судоку в воскресенье утром тоже обычно не ведёт к потере концентрации на весь оставшийся день; некоторые даже утверждают, что это обостряет их ум. Всё это говорит о том, что люди регулярно занимаются активной умственной деятельностью без особых при этом страданий
Некоторые люди регулярно проводят приятные вечера в компании сложных книг, которые другие от отчаяния могут швырнуть в стенку. Решение сложных кроссвордов или судоку в воскресенье утром тоже обычно не ведёт к потере концентрации на весь оставшийся день; некоторые даже утверждают, что это обостряет их ум. Всё это говорит о том, что люди регулярно занимаются активной умственной деятельностью без особых при этом страданий.
Появление усталости гораздо вероятней в случае устойчивых умственных усилий, которых хочется избежать, – обязательного экзамена или собеседования, – и при этом ожидается что это испытание нас измотает. Если мы считаем, что экзамен или головоломка будет трудной, истощение может наступить раньше.
Исследования показали, что нечто похожее происходит, когда люди тренируются и занимаются спортом: большая часть физической усталости находится в наших головах. В соответствующих исследованиях добровольцы, которые катались на велосипеде после 90-минутного компьютерного теста, требующего постоянного внимания, изматывались раньше, чем участники, которые до этого смотрели эмоционально нейтральные документальные фильмы.
Даже если выполнение теста не потребляет значительно больше энергии, чем просмотр фильмов, добровольцы сообщили, что чувствуют себя всё равно более уставшими. Это чувство было достаточно мощным, чтобы ограничить их физическую работоспособность.

Можно ли набирать мышцы на дефиците калорий
Да, можно и вот ключевые данные и ссылки на исследования.
- Мы можем терять мышечную массу при дефиците калорий без силовых тренировок. (Villareal et al., 2016). Однако при силовых тренировках на дефиците калорий мышечная масса не уходит (Stiegler and Cunliffe 2006; Miller et al., 2013; Churchward-Venne et al., 2013; Trexler et al., 2014; Helms et al., 2014a; Helms et al., 2014b; Murphy et al., 2014; Hulmi et al., 2016).
- Для сохранения мышечной массы необходим небольшой дефицит калорий – около 500 ккал/сутки (Garthe et al., 2011; Sundgot-Borgen and Garthe, 2011; Trexler et al., 2014; Helms et al., 2014a; Murphy et al., 2014; Khodaee et al., 2015; Manore et al., 2015; Hulmi et al., 2016). Если же дефицит калорий очень большой, это приводит к большей мышечной атрофии (Chaston et al., 2007).
- Еще к вопросу о резком сокращении калорийности: есть длинный перечень негативных эффектов из-за быстрой потери веса – гормональные, психологические и физиологические.(Sundgot-Borgen and Garthe, 2011; Franchini et al., 2012; Trexler et al., 2014; Khodaee et al., 2015; Manore et al., 2015; Hulmi et al., 2016; Aloui et al., 2016; Hulmi et al., 2016).
- Для сохранения мышечной массы нужно придерживаться питания с высоким содержанием белка. В некоторых исследованиях советуют 1.5-1.8 г белка на 1 кг массы тела в день, в некоторых более 2 г на 1 кг (Stiegler and Cunliffe 2006; Wycherley et al., 2012; Churchward-Venne et al., 2013; Pasiakos et al., 2013; Phillips, 2014; Trexler et al., 2014; Helms et al., 2014; Helms et al., 2014a; Murphy et al., 2014; Manore et al., 2015; Kim et al., 2016; Hulmi et al., 2016).
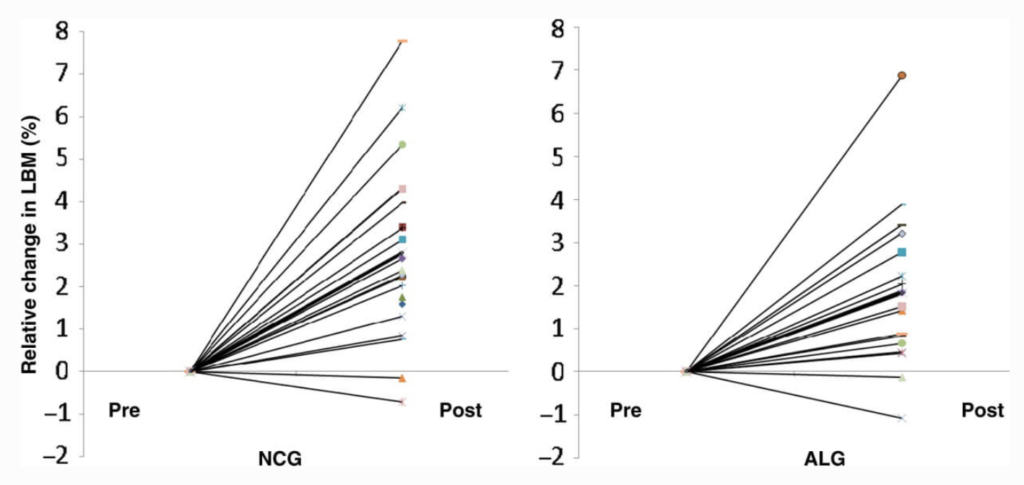
Опять же следует упомянуть и про вклад генетики. Научные исследования доказывают, что результаты разных людей на одинаковую нагрузку сильно разнятся.
Вот к примеру, насколько разной была прибавка мышечной массы (в %) у атлетов за 12 недель тренировок.

На графике слева – атлеты, питавшиеся контролируемо с профицитом калорий, справа – питавшиеся в обычном для себя режиме (как им нравится). Исследование: Garthe et al., 2012
Такой разный результат ученые объясняют именно генетической предрасположенностью. В большом количестве исследований доказали, что реакция разных людей на одинаковые тренировки – разная и что есть те, кто хорошо набирает мышечную массу и те, кто плохо, независимо от прочих условий.
Увеличение метаболизма – турбо-режим для похудения: сколько сжигается калорий за 1 час тренировки?
Как правило, ваша интенсивность MET возрастает по мере того, как вы:
- Напрягаете мышцы. Ваша мышечная ткань – ваш двигатель. Чем больше вы используете, тем больше топлива вы сжигаете.
- Тонус для весового напряжения. Сколько калорий сжигает круговая тренировка, если ее никак не разнообразить монотонными и длительными упражнениями? Такие действия, как бег, сжигают больше калорий на более высоком уровне, чем те, в которых поддерживается ваш вес, например, на велосипеде. Компромисс: вы можете обычно выполнять сидячую деятельность дольше, чтобы компенсировать разницу.
- Работать усерднее. Быстрый пловец сжигает больше калорий, чем один медлительный или ленивый боксер одним своим ударом. Ходьба в гору потребует больше энергии, чем прогулка по паркам. И ускорение – это верный способ включить турбо-режим для сжигания калорий. Например, сжигание калорий при физических нагрузках с интервалами будет проходить быстро только в начале занятия, а потом постепенно будет уходить лишний вес.
Придерживаясь простых правил, можно скорректировать свой рацион, день, да и фигуру в целом, не прилагая особых усилий.
Кэндис СвейнполПолюбите прохладу
Люди, которые проводят больше времени в условиях прохладной температуры, быстрее сжигают жир. Жировые депо в человеческом организме состоят из двух типов жира: белого (именно он оседает на ягодицах и талии) и бурого. Когда человеку прохладно, его организм начинает активнее сжигать бурый жир и расходует больше энергии. В одном из исследований группа японских ученых предложила добровольцам проводить ежедневно по два часа в помещении с температурой 19 градусов. Спустя полтора месяца выяснилось, что уровень истощения клеток бурого жира у испытуемых вырос втрое, а общий процент содержания жира в теле снизился. В похожем эксперименте американских специалистов из Клиники Майо в Миннесоте участники, проводившие по два часа в день при температуре 17 градусов, в среднем сжигали на 164 ккал больше без каких-либо дополнительных усилий. Поэтому чаще гуляйте в прохладную погоду, проветривайте помещение, выставляйте кондиционер в офисе на более низкую отметку — и ваше тело автоматически станет тратить больше калорий.
Нормализация давления
Хронически повышенное давление опасно для сердца и почек. Для снижения давления врачи рекомендуют заниматься физической активностью и бороться с лишним весом. Ходьба прекрасно решает обе эти задачи.
Корейские ученые определили, что у людей с давлением выше нормы всего 40-минутная ходьба со скоростью 5 – 6 километров в час снижала этот показатель на 5 пунктов. Причем при регулярной ходьбе этот результат закрепляется.
А специалисты “Института сердца и сосудов штата Провиденс” рекомендуют практиковать ходьбу не менее 1 часа в день, чтобы получить стойкое снижение давления на 10 пунктов.
Интересный факт!
Через 8 недель после начала тренировок
«Мне хочется есть больше овощей, фруктов и здоровых продуктов!»
Ваш организм начинает просто «требовать» насыщения достаточной энергией для тренировок, которую дают только правильные продукты! Поэтому вы сами не заметили, как начали не только пить больше воды, но и есть больше овощей, фруктов, мяса и кисломолочных продуктов.
Кроме этого, в результате упорных стараний, у вас снизился риск ишемического заболевания сердца, связанного с сердечно-сосудистыми заболеваниями, а также ожирения и сахарного диабета.
Вывод: три раза в неделю вы не только работаете над своими формами, но и осуществляете профилактику многих болезней!
Кортизол и отеки
goqii.com
Большинство проблем сочетания очень низких калорий и чрезмерного кардио связаны с еще одной вещью, которая отлично сочетается с адаптационным замедлением метаболизма: стрессовый гормон кортизол и вызванная им задержка воды. Кортизол обладает перекрестной реактивностью с рецепторами альдостерона — основного гормона, отвечающегоза задержку воды организмом ().
Получается:
- Дефицит калорий повышает уровень кортизола.
- Кардио повышает уровень кортизола.
- Психологический стресс повышает уровень кортизола.
То есть, тонны тренировок и голодная диета повышают кортизол. Часто к проблеме добавляет склад характера, когда человек постоянно стрессует, потому что ему нужно быстро!!! срочно!!! еще больше!!! похудеть прямо сейчас!!! И когда потеря веса останавливается, эти люди не только еще больше снижают калории и добавляют кардио, но и начинают еще больше паниковать по поводу отсутствия результатов, из-за чего кортизол хронически повышен, и организм удерживает воду, которая маскирует потерю жира.
Типичная худеющая девушка может потерять до 300-500 грамм чистого жира в неделю. Если ее стресс (психологический, диетический и физический) — причина удержания 2-4 литров жидкости, то она очень долго не увидит результатов своей диеты. Жир уходит, но отеки это маскируют.
Но очень часто после того, как она однажды от души поест, особенно углеводную еду, и пропустит пару тренировок, кортизол, наконец, падает, и буквально за одну ночь можно «похудеть» на 2-3 кг за счет избавления от «стрессовых» отеков.
Именно поэтому на диете с большим ограничением калорий рекомендуется раз в несколько дней устраивать углеводные загрузки — рефиды.
Повышение кортизола так же вызывает резистентность головного мозга к лептину. В результате лептин не посылает достаточного сигналов в мозг — со всеми вытекающими из снижения лептина последствиями, о которых вы читали выше. Жира в теле может быть еще достаточно, чтобы было достаточно лептина, но кортизол не дает мозгу его увидеть.





































